量化分析预测市场,爱幻想的人为什么会成为韭菜?
2026-01-28
编者按:作者详细剖析了散户交易者在「冷门结果」和「肯定性结果」之间的非理性偏好是如何促成了「乐观税」的产生。这不仅是对市场微观结构的硬核分析,更是每一位预测市场参与者均应警惕的避坑指南。
以下为原文内容:
拉斯维加斯大道上的老虎机,每投入 1 美元大约返还 93 美分。这被广泛认为是赌博中赔率最差的游戏之一。然而,在受 CFTC(美国商品期货交易委员会)监管的预测市场 Kalshi 上,交易者却在那些历史回报率低至每美元仅返还 43 美分的「冷门」(longshot)合约上押注了巨额资金。成千上万的参与者自愿接受比赌场老虎机低得多的期望值,只为给自己的信念下注。
有效市场假说(Efficient Market Hypothesis)认为,资产价格应完美聚合所有可用信息。理论上,预测市场为这一理论提供了最纯粹的测试。与股票不同,预测市场的内在价值没有模糊性:一份合约要么支付 1 美元,要么不支付。5 美分的价格应该恰好意味着 5% 的概率。
为了测试这种有效性,我们分析了涵盖 182.6 亿美元 交易量的 7210 万笔交易。我们的发现表明,群体的准确性较少依赖于理性行为者,而更多依赖于一种「收割错误」的机制。我们记录了一种系统性的财富转移:冲动的「吃单者」(Takers)为肯定的「YES」结果支付结构性溢价,而「挂单者」(Makers)仅仅通过向这种偏向性的资金流卖出合约,便捕获了「乐观税」(Optimism Tax)。这种效应在体育和娱乐等高参与度类别中最为强烈,而在金融等低参与度类别中,市场则接近完美有效。
本文贡献
本文做出了三项贡献。
第一,它证实了 Kalshi 上存在「高风险的赌注偏误」(longshot bias),并量化了其在不同价格水平上的幅度。
第二,它按市场角色分解了回报,揭示了由不对称订单流驱动的、从吃单者到挂单者的持续财富转移。
第三,它确定了一种「YES/NO 不对称性」,即吃单者在高风险的赌注(低概率价格)上不成比例地偏好肯定性押注,从而加剧了他们的损失。
预测市场与 Kalshi
预测市场是参与者对现实世界结果的二元合约进行交易的交易所。这些合约以 1 美元或 0 美元结算,价格范围为 1 到 99 美分,作为概率的代理指标。与股票市场不同,预测市场是严格的零和博弈:每一美元的利润都恰好对应一美元的损失。
Kalshi 于 2021 年推出,是美国首个受 CFTC 监管的预测市场。该平台最初专注于经济和天气数据,直到 2024 年以前一直处于小众地位。在法律上战胜 CFTC 并获得上市政治合约的权利后,2024 年的选举周期引发了爆发式增长。2025 年引入的体育市场目前主导了交易活动。各类别的交易量分布极不均衡:体育占名义交易量的 72%,其次是政治(13%)和加密货币(5%)

数据与方法论
数据集包含 768 万个市场 和 7210 万笔交易。每笔交易记录了执行价格(1-99 美分)、吃单方(yes/no)、合约数量和时间戳。
角色分配: 每笔交易都识别了流动性消耗者(吃单者)。挂单者采取了相反的立场。如果 taker_side = yes 且价格为 10 美分,意味着吃单者以 10 美分买入 YES;挂单者则以 90 美分买入 NO。
成本基础 (Cb): 为了比较 YES 和 NO 合约之间的不对称性,我们将所有交易按风险资本进行标准化。对于 5 美分的标准 YES 交易,Cb=5。对于 5 美分的 NO 交易,Cb=5。除非另有说明,本文中提及的「价格」均指此成本基础。
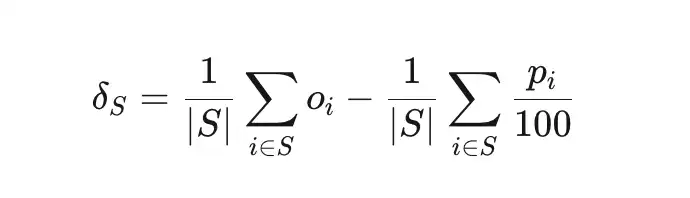
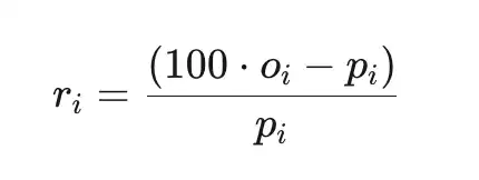
错价 (δS) 衡量的是一组交易 S 的实际胜率与隐含概率之间的偏离度。

总超额收益 (ri) 是相对于成本的回报(含平台费用前),其中 pi 为美分价格,oi∈{0,1} 为结果。

样本
计算仅基于已结算的市场。已作废、已退市或仍处于开放状态的市场均被排除在外。此外,名义交易量低于 100 美元的市场交易也被排除在外。该数据集在所有价格水平上均保持稳健;即使是交易量最少的区间(81-90 美分)也包含 580 万笔交易。

Kalshi 上的 Longshot Bias
Longshot Bias 最早由 Griffith (1949) 在赛马中记录,后由 Thaler & Ziemba (1988) 在对彩池投注市场的分析中正式化。它描述了投注者倾向于为低概率结果支付过高价格的现象。在有效市场中,定价为 p 美分的合约应该有大约 p% 的获胜概率。在存在 Longshot Bias 的市场中,低价合约的胜率低于其隐含概率,而高价合约的胜率高于 隐含概率。
Kalshi 的数据证实了这一模式。交易价格为 5 美分的合约仅有 4.18% 的胜率,意味着 -16.36% 的错价。相反,95 美分 的合约胜率为 95.83%。这种模式是一致的:所有价格低于 20 美分的合约表现均低于其赔率,而高于 80 美分的合约则表现优于赔率。
Longshot Bias 的存在引出了一个零和市场特有的问题:如果一些交易者系统性地支付过高的价格,那么谁来获得剩余价值?
挂单者与吃单者的财富转移
按角色分解回报 市场微观结构根据参与者与订单簿的互动定义了两类人群。挂单者(Maker)通过放置停留在订单簿上的限价单来提供流动性。吃单者(Taker)通过与现有订单成交来消耗流动性。按角色分解总回报揭示了明显的不对称性:


这种分歧在尾部最为明显。对于 1 美分的合约,吃单者的胜率仅为 0.43%(隐含概率为 1%),对应 -57% 的错价。同一合约的挂单者胜率为 1.57%,错价为 +57%。在 50 美分处,错价被压缩;吃单者显示 -2.65%,挂单者显示 +2.66%。在 99 个价格水平中的 80 个,吃单者表现为负超额收益,而挂单者在相同的 80 个水平上表现为正。
市场的总体错配集中在特定人群:吃单者承担损失,挂单者获取收益。
这仅仅是价差补偿吗?
一个明显的反对意见是:挂单者赚取买卖价差是作为提供流动性的补偿。他们的正回报可能只是反映了价差捕获,而非利用了有偏误的资金流。
虽然看似合理,但两个观察结果表明情况并非如此。首先,挂单者的回报取决于他们采取的方向。如果利润纯粹基于价差,那么挂单者买入 YES 还是 NO 应该无关紧要。
我们通过按持仓方向分解挂单者表现来测试这一点:

买入 NO 的挂单者在 59% 的时间里 表现优于买入 YES 的挂单者。
买入 YES 的挂单者加权超额收益为 +0.77%,而买入 NO 的为 +1.25%。两者相差 0.47 个百分点。这种效应虽然微乎其微(Cohen's d = 0.02-0.03),但却具有稳定性。
至少,这表明价差捕获并非全部原因。
各市场类别之间的差异
如果不了解行情的非理性需求导致了偏误,那么吸引较少成熟参与者的类别应显示出更大的差距。数据令人震惊:金融类仅显示 0.17 个百分点 的差距;市场极其有效。
而在另一端,世界大事和媒体显示的差距超过 7 个百分点。体育作为交易量最大的类别,表现出 2.23 个百分点的适度差距。考虑到 61 亿美元的吃单量,即使是这适度的差距也产生了巨大的财富转移。
为什么金融类如此有效?可能的解释是参与者筛选;金融问题吸引的是以概率和期望值思考的交易者,而不是赌自己主队的粉丝。问题本身很枯燥(例如「标普指数收盘会高于 6000 点吗?」),这过滤掉了情绪化的投注者。


Taker 和 Maker 的进化
挂单者与吃单者的差距并非市场固有的特征;它是随着平台的发展而出现的。在 Kalshi 早期,模式是相反的:吃单者获得正的超额收益,而挂单者亏损。
从发布到 2023 年,吃单者回报平均为 +2.0%,而挂单者为 -2.0%。没有成熟的交易对手,吃单者赢了;业余的挂单者定义了早期阶段并成为了输家。
这种情况在 2024 年第二季度开始逆转,并在 2024 年大选后差距急剧扩大。
转折点与两个事件重合:Kalshi 在 2024 年 10 月战胜 CFTC 获得政治合约许可,以及随后的 2024 年选举周期。交易量从 2024 年 Q3 的 3000 万美元激增至 Q4 的 8.2 亿美元。新资金吸引了成熟的做市商,随之而来的是从吃单流中提取价值。
大选前,平均差距为 -2.9 pp(吃单者赢);大选后,翻转为 +2.5 pp(挂单者赢)。

低概率合约(1-20 美分)的交易量占比基本保持不变,选举前为 4.8%,选举后为 4.6%。但分布实际上向中间价位偏移;91-99 美分价位的占比从 2021-2023 年的 40-50% 下降到 2025 年的不足 20%,而中档价位(31-70 美分)则大幅增长。
吃单者的行为并没有变得更偏激(低概率合约的份额甚至略有下降),但他们的损失增加了。
这种演变重塑了总体结果。财富从交易者向做市商的转移并非预测市场微观结构的固有特征;它需要成熟的做市商,而成熟的做市商需要足够的交易量才能证明其参与的合理性。
在交易量较低的早期阶段,做市商很可能是缺乏经验的个人,他们输给了相对了解情况的交易者。
交易量的激增吸引了专业的流动性提供者,他们能够在所有价格点上从交易者的资金流中获取价值。
YES/NO 不对称性
挂单者-吃单者的分解确定了谁在吸收损失,但留下了如何操作的问题。为何吃单流的定价总是错误的?答案不在于挂单者拥有卓越的预测能力,而在于吃单者对肯定性结果表现出昂贵的偏好。
同等价格下的不对称性
标准效率模型表明,在相同价格下,不同合约类型的定价偏差应该是对称的,理论上,1 美分的「是」合约和 1 美分的「否」合约应该反映相似的预期收益。

然而数据反驳了这一点。在 1 美分的价格下,「YES」的历史预期收益为-41%;YES 的买家预期损失近一半的本金。相反,同样是 1 美分的「NO」合约的历史预期收益为+23%。这两个看似相同的概率估计值之间的差异高达 64 个百分点。
NO 合约的优势持续存在。在 99 个价格水平中,NO 合约在 69 个价格水平上的表现优于 YES 合约,且优势主要集中在市场极端价位。NO 合约在 1 美分到 10 美分以及 91 美分到 99 美分的每个价格增量上都能产生更高的收益。
尽管市场是零和博弈,但「YES」买家的美元加权回报率为 -1.02%,而「NO」买家的美元加权回报率为 +0.83%,两者相差 1.85 个百分点,这是由于「YES」定价过高造成的。
吃单者偏好肯定性押注
YES 合约表现不佳可能与交易者的行为有关。对交易数据的分析揭示了订单流构成中的结构性失衡。

在 1-10 美分区间(YES 代表冷门结果),吃单者占 YES 交易量的 41-47%;挂单者仅占 20-24%。这种不平衡在概率曲线的另一端反转。当合约交易价为 99 美分(意味着 NO 是 1 美分的冷门)时,挂单者积极购买 NO 合约(占交易量的 43%),而吃单者仅占 23%。
有人可能会假设做市商利用这种不对称性,凭借更精准的方向预测能力获利——也就是说,他们知道何时应该买入 NO。但证据并不支持这种假设。
当按持仓方向分解做市商的业绩时,收益几乎相同。只有在极端尾部(1-10 美分和 91-99 美分)才会出现统计学上的显著差异,而且即使在这些尾部,效应量也微乎其微(Cohen's d = 0.02-0.03)。
这种对称性意义重大:做市商并非通过预判方向获利,而是通过某种对双向都同样适用的机制获利。
讨论
对 Kalshi 平台上 7210 万笔交易的分析揭示了一种独特的市场微观结构:财富系统性地从流动性接受者向流动性创造者转移。这种现象是由特定的行为偏差驱动的,并受到市场成熟度的调节,且集中在那些能够引发高度情绪投入的类别中。
获利者的利润提取机制
在零和市场中,获利者是通过优势信息(预测)还是优势结构(做市)取胜?
数据强烈支持后者。
当按持仓方向分解做市商收益时,业绩差距微乎其微:买入「YES」的做市商获得+0.77% 的超额收益,而买入「NO」的做市商获得+1.25% 的超额收益(Cohen's d ≈ 0.02)。
这种统计对称性表明,做市商并不具备显著的预测赢家的能力。相反,他们通过结构性套利获利:为那些偏好高风险、高回报结果的「吃单者」群体提供流动性。

这种提取机制依赖于「乐观税」。
尽管低概率「YES」的表现比低概率的「NO」低 64 个百分点,但交易者仍不成比例地以低概率价格买入「YES」合约,几乎占该价格区间总交易量的一半。
因此,做市商无需预测未来;他们只需充当乐观情绪的交易对手即可。这与 Reichenbach 和 Walther(2025)对 Polymarket 以及 Whelan(2025)对 Betfair 的研究结果一致,表明在预测市场中,做市商会提供适应这种偏误的交易流,而不是进行预测。
流动性的专业化
2021-2023 年间,尽管存在 Longshot Bias,吃单者仍能获得正收益。这种趋势的逆转与 2024 年 10 月 Kalshi 赢得诉讼后的交易量爆发精确吻合。
2024 年末观察到的财富转移是 市场深度 的函数。在平台初期,低流动性阻碍了成熟算法做市商的进入。2024 年大选后的海量交易激励了专业流动性提供者的进入,他们能够系统性地捕获价差并利用有偏误的资金流。
市场之间的差异
不同类别的挂单-吃单差距揭示了参与者筛选如何塑造市场效率。
• 金融 (0.17 pp):作为对照组,证明预测市场可以接近有效。诸如「标普 500 指数能否收于 6000 点以上?」之类的问题吸引的是那些以概率和期望值思考的参与者,他们很可能也是期权交易者或宏观经济数据关注者。知情参与的门槛很高,普通投注者没有优势,而且他们很可能也意识到了这一点,因此会选择退出。
• 政治 (1.02 pp):虽然涉及强烈的情感因素,但其预测效率仍存在一定程度的不足。政治博彩者密切关注民调,并已通过选举周期不断调整自身判断。这一差距大于金融类,但远小于娱乐类,表明政治参与虽然带有强烈的情感色彩,但并不会完全削弱概率推理能力。
• 体育 (2.23 pp):是预测市场中占比最高的类别。尽管差距不大,但考虑到该类别 72% 的交易量份额,这一差距仍然意义重大。体育博彩玩家表现出一些有据可查的偏好,包括主队忠诚度、近因效应以及对明星球员的情感依恋。球迷投注自己支持的球队赢得冠军并非在计算预期收益,而是在购买希望。
• 加密货币 (2.69 pp):吸引的参与者深受散户「价格上涨」心态的影响,这部分人群与 meme 交易者和 NFT 投机者重合。诸如「比特币会达到 10 万美元吗?」之类的问题,更倾向于基于叙事而非概率估计的投注。
• 娱乐、媒体和世界大事 (4.79–7.32 pp):这些领域存在最大的认知差距,并具有一个共同特征:人们对自身专业知识的认知门槛极低。任何关注名人八卦的人都觉得自己有资格预测颁奖典礼的结果;任何阅读新闻标题的人都觉得自己了解地缘政治。这导致参与者群体将熟悉程度与判断力混为一谈。
我们的研究表明,市场效率取决于两个因素:知情参与的技术门槛以及市场隐含的问题引发情感推理的程度。
当市场门槛高且框架客观冷静时,市场效率接近理想状态;当门槛低且框架鼓励叙事时,乐观效应达到顶峰。
局限性
尽管研究采用的数据可靠,但仍存在一些局限性。
首先,由于缺乏唯一的交易者 ID,我们只能依赖「做市商/吃单者」分类来代表「成熟/不成熟」的交易者。虽然这在微观结构文献中是标准做法,但它并不能完美地捕捉到成熟交易者利用时效性信息进行交叉交易的情况。
其次,我们无法直接从历史交易数据中观察到买卖价差,因此难以将价差捕获与利用偏误流量的行为完全区分开来。
最后,这些结果仅适用于美国监管环境;具有不同杠杆上限和费用结构的离岸交易场所可能会呈现出不同的动态。
结论
预测市场的承诺在于其能够将多样化的信息聚合成单一、准确的概率。
然而,我们对 Kalshi 的分析表明,这一信号常被由人类心理和市场微观结构驱动的系统性财富转移所扭曲。
市场分裂为两个截然不同的人群:一个系统性地为低概率、肯定性结果支付过高价格的吃单者阶层,以及一个通过被动提供流动性来提取这种溢价的挂单者阶层。
当话题枯燥且定量化(如金融)时,市场是有效的。当话题允许希望介入(如体育、娱乐)时,市场便转化为一种将财富从乐观者手中转移到精算者手中的机制。
「原文链接」