Polymarket LP做市激励背后的4重真相与费用陷阱
2026-05-23
原文作者:shtanga0x&securezer0
编译 | Odaily 星球日报(@OdailyChina)
译者 | Wenser(@wenser2010)

编者按:近期,X 平台时间线上,Polymarket 针对 NCAA“疯狂三月”的 LP 激励相关帖子几乎刷屏了。与此同时,Polymarket 官方成员透露将于下周一公布重大消息,社区猜测或为融资或发币信息。
在美 SEC 与 CFTC 通过五分法扫清加密平台空投障碍之后,POLY 成为无数人眼中“最后的撸毛希望”,而 LP 做市或将成为空投关键指标之一。
有鉴于此,Odaily星球日报将借 2 位分析师关于 LP 做市激励的正反观点,为 Polymarket 用户提供更全面的视角。以下为编译内容,部分信息有删改。
正面观点:Polymarket LP 激励计划背后的 4 大分类
近期,Polymarket 激励机制进行了低调升级,其重心转向了流动性提供者(LP)。过去几年,该平台一直实行“零交易费”策略,但自今年年初,其悄然引入特定押注事件的手续费,同时推出两大做市商奖励计划。
表面上看,交易费收取好像对交易用户不利,但实际上,这是在解决预测市场最核心的结构性痛点——流动性难题。
新的收费结构旨在资助激励项目,奖励提供限价单并保持订单深度的用户。因此,Polymarket 及其用户都受益于:更窄的利差、更丰富的订单簿以及更好的交易体验——尤其是在高频加密市场中。
而其推动路径也极为清晰,呈现从单一到多元的趋势:
- 2026 年 1 月:15 分钟 Crypto 市场
- 2026 年 2 月:扩展至 5 分钟 Crypto 市场 + NCAAB 大学篮球 + 意甲联赛
- 2026 年 3 月 6 日:扩展到所有 Crypto 市场(涵盖 1H、4H、日线、周线等事件)
基于以上信息,本文将详细说明新的费用和奖励系统如何运作——以及为何支付的费用+赚取的奖励可能会成为 POLY 空投中潜在的反女巫指标。这不是简单的货币化操作,而是 Polymarket 在用行动告诉大家:它真正想要的是流动性,而非刷量机器人。
Part I. 新吃单费机制全解析
绝大部分 Polymarket 市场依然完全免费。存款、提现和交易(绝大多数事件市场)依然零平台费。
交易费用目前只针对吃单(taker order)一方,覆盖三类市场:
- 所有 Crypto 涨跌市场(15min、5min、1H、4H、日、周等)
- NCAAB(美国大学篮球联赛)
- Serie A(意甲足球)
重点在于,吃单费用只对费用激活日期后创建的市场生效,此前的已有押注事件不受影响。
费用公式统一(其中,C=交易筹码数量,p=筹码价格/市场概率,费用四舍五入至小数点后 4 位,最低费用为0.0001 USDC):

有效费用率遵循对称概率曲线:
- 概率接近 50%(结果不确定性最高)时,费用最高;
- 概率接近 0 或 1 时(结果确定性较高),费用接近 0。
举例而言,以一笔 100 美元的 Crypto 市场交易来说,
- p=0.50 → 交易费用(fee)约 0.44 美元;
- p=0.10 或 0.90 → 交易费用(fee)约 0.02 美元。
体育事件的概率曲线类似,但中点(概率在 50%左右)费用略高,收费方向具体为:
- 买入:费用从筹码份额里扣除;
- 卖出:费用从 USDC 资金里扣除;
- 做市激励以 USDC 的形式支付。
值得一提的是,Polymarket 平台并不保留全部费用池,固定比例的手续费(Crypto 市场的 20%、体育押注事件的 25%)直接返还给 LP。(注:Polymarket 美国合规平台采用简单的 0.01%固定收费。本分析仅讨论全球 CLOB 平台,该平台引入了 2026 年新的收费体系。)
Part II. 做市商激励计划(限价单执行奖励)
该部分的激励仅覆盖已收取吃单费的市场。这意味着,只有被交易者吃掉的限价单才能拿到对应奖励,单纯挂单不成交不算。
奖励金额的计算方式与吃单者费用相同。每位参与者的奖励与其交易量成比例,总奖金池由部分收取的费用组成(Crypto 市场的 20%、体育押注事件的 25%)。
竞争仅发生在特定押注事件,LP 挂单仅与同一流动性池的其他 LP 竞争。
每日激励均以 USDC 直接发送至对应钱包地址。
Part III. 流动性激励(闲置订单激励)
第二套激励系统由 Polymarket 平台提供,适用于所有押注事件(包括不收取手续费的押注事件)。
核心区别在于:不需要订单成交,只要挂在订单簿上提供流动性就能赚钱。
每个押注事件都定义了若干决定资格的参数:
- 最大激励价差(例如±4 美分)
- 最小挂单量
- 每日总奖励池
平台对订单簿进行每分钟采样,一周记录 10080 次快照。
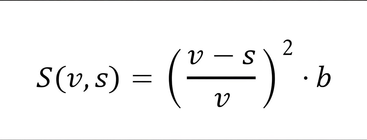
奖励计算公式超级细节:
1.距离分数(二次方程)
其中,
V - 最大激励利差
s - 距离中点的距离
接近中点的订单得分呈指数级增高。

2.双边分数(YES/NO 互补结构)
买卖投标单(bid)和询价单(ask)分别计算得分 ,考虑了 Yes/No 市场的互补结构。

3.Q 值最小化调整
在订单簿两端提供流动性的押注事件得分更高。
单边报价会受到惩罚,除非市场概率接近 0 或 1。

4.最终得分
所有 LP 分数都会被归一化并随时间汇总,以确定每个参与者在市场奖励池中的比例份额。
奖励将在 UTC 时间午夜发放 USDC,最低 1 美元起付。

目前可在 polymarket.com/rewards 实时查看活跃奖励押注事件和个人收益。激励利差范围在订单簿界面以蓝色高亮显示,用户也可以查看 Polymarket 官方文档。
目前,单向订单仍能获得积分(但大打折扣),而双向报价则优先得到激励积分。奖励会根据每个单独的押注事件单独计算。没有跨事件计算。实际上,该系统奖励在市场中点附近保持紧密利差和平衡流动性的交易者 ,提升所有用户的交易体验。
Part IV. 赞助 LP 激励
第三种机制,任何人都可以用 USDC 直接给特定市场加 LP 激励,吸引 LP 进来做市。赞助者可随时投入或撤出资金,未消耗的资金将自动退回。
该机制的规则和流动性激励计划完全一致——只需挂单即可,无需成交。

典型案例如“耶稣基督 2027 年前会回来吗?”这一押注事件,某平台用户 2 月砸了 7 万美元作为 LP 激励,现在每天还能得到 57 美元左右的流动性激励,这也使得该事件直接成为平台深度最好的押注事件之一。这套机制让社区自己就能深度促活任何押注事件的市场流动性,不用等 polymarket 官方出手。
Part V. POLY 空投的最强反女巫指标
乍一看,Polymarket 似乎只是需要更多的交易者。
然而,如果大多数用户仅依赖市价单,平台很快就会面临流动性问题。
Polymarket 不依赖中心化做市商,因此如果限价单不足,订单簿就会变得稀少。
在这种情况下,买入、卖出或执行大单时很难避免滑点过高,手续费骤增。
Polymarket 不需要刷量机器人,它需要真正提供价值的 LP。
以前大家只盯着交易量刷,以为交易量大才是获取空投的关键。然而,新的收费结构和奖励计划暗示了不同的激励模式——重要的不仅仅是交易量,而是在产生费用且需要流动性的押注事件中的参与活动。换句话说,平台奖励的是有针对性的 LP ,而不仅仅是被动限价单。

奖励分配公式有效地揭示了 Polymarket 最看重的流动性类型。 评分系统评估:
- 订单与中点的接近程度
- 订单规模
- 买价与卖价之间的平衡
因此,奖励成为衡量交易者流动性对平台价值的直接衡量标准。如果交易者持续获得奖励,说明他们的订单正在积极提升市场流动性和执行质量。以下是市场参与者获得潜在激励的示例:
- 北极海冰面积今年冬天会达到最大值吗?——已存在 3 个月,交易量不足 2 万美元,流动性奖励仅为 9 美元;
- 比特币会在三月达到 75,000 美元吗?——已经存在了两周,交易量达 300 万美元,流动性奖励为 142 美元;
- 比特币涨跌 - 15 分钟 —— 涵盖数百个押注事件,日交易额数百万美元,日均手续费约 1 万美元,流动性奖励 2000 美元。
相较于具体的押注事件,数据所揭示的真相更为关键——与简单的交易量指标相比,吃单费用以及获得的流动性奖励更难人为操纵。系统性地赚取做市激励需要资金、风险管理和持续在场,这大大削弱了撸毛党的优势,反而有利于真正的市场参与者。
结论:吃单费和 LP 激励或成 POLY 空投关键指标
未来的 POLY 代币分配不仅取决于交易量,更有可能取决于支付的吃单费用和获得的 LP 奖励。这些指标透明、可衡量,并且与平台需求高度契合。在该模型中,奖励不与刷交易量挂钩,而是与真正优化平台交易体验的贡献挂钩: 流动性、稳定性和高效的价格发现。
换言之,谁是表现最好的 LP ,谁就是最有价值的用户。最硬核的 Polymarket 玩家,从来不是交易量最大的那个,而是把订单簿的流动性养得最深的 LP。
另附 Polymarket LP 做市攻略:《现在就是交互 Polymarket 的最佳时机(附独家教程攻略)》
当然,市场上总是存在不同观点,也有人认为 Polymarket 推出的 LP 激励计划看似是“撒钱换流动性”,但其实是借此牟利,是给 LP 用户设下的陷阱。我们来听听反面观点。
反面观点:Polymarket LP 激励或为平台骗局?LP 实为“拿钱亏本”陷阱?
针对 Polymarket 近期推出的 LP 激励计划,套利交易员、Polymarket/Kalshi bot 玩家 securezer0 直接把目前圈内很多 KOL 狂吹的 “Polymarket Rewards Farming” 称为巨型心理战,直指这是一场由平台直接买单或重度激励 KOL 炮制的集体造势。
LP 的真相:另外一种形式的“付费亏钱”?
多位 LP 直言:当前 Polymarket 的 LP 机制,本质上是“花钱换亏本”。
问题出在哪?排行榜将 LP 奖励直接计入盈亏数据展示,却对一个关键概念只字不提——LP 磨损。
当你的仓位被单边成交后,往往无法以合理价格出售,或在押注事件结算前根本卖不出去,这部分资金损失被平台系统性地掩盖了。真实的 ROI 数据远低于账面数字,对大多数 LP 参与者而言,其实盈利是负的。他们只是相信 POLY 空投能覆盖亏损——这不是一场套利激励计划,而是一场平台信仰交易。
专业做市商为什么不愿进场?
专业做市商对 Polymarket LP 做市普遍持回避态度,核心原因只有一个:内幕交易风险真实存在。
Polymarket 和 Kalshi 都不得不以股权换流动性,才能让专业做市商愿意坐上桌——这本身就说明了问题。
有效的 LP 运营是一套极度复杂的自动化风控体系。那种"低门槛、高回报"的 LP 神话,只有在 Polymarket 持续砸重金补贴流动性奖励的前提下才成立——而这条路,长期来看根本不可持续。
平台真实困境:每天需要凭空“变”出数百万美元
流动性不足,是 Polymarket 正在逐步开启收费开关的第一驱动力。
为了维持各类押注事件的流动性奖励、让更多 USDC 流动性留在平台,Polymarket 每天需要消耗数百万美元维持交易深度。若找不到更优解,平台别无选择,只能对每一笔买卖收取手续费,用这部分收入来养活投资人和做市商。
而一旦全面开征手续费,普通用户的处境将极为尴尬——因为这样的话,传统体育竞猜平台或许反而更划算,原因在于:
- 综合费率后赔率相当;
- 传统平台还有返现和现金激励;
- 规则清晰,受监管保护;
- 内幕交易者会被封号乃至有入狱风险。
真正可行的 3 大解法:固定手续费、POLY 流动性池、扩展产品收费
与其饮鸩止渴,不如从根上动刀:向吸血鬼开刀,而非向用户收割。 对那些从真实用户身上抽取 USDC 的套利机器人收取手续费。毕竟,这些 bot 才是污染流动性的源头。具体而言,有以下方法:
只对利润征收 1%的固定手续费,即仅针对卖出价减去本金的净收益部分收费,不动本金,不伤害用户交易体验。
用 POLY 代币构建原生流动性池。 以协议级方式程序化地为各个押注事件提供流动性,将代币经济与流动性供给深度绑定。
在扩展产品上收费,而非核心产品。 串关、衍生品、杠杆——这些是天然的收费场景,动这里不会伤及用户体验的根本。
目前来看,Polymarket 平台业务的护城河仍然有待加强。零手续费与更优赔率,是它区别于传统竞猜平台最重要的价值锚点。为了短期收入放弃这两点,无异于自毁长城。